-
我们来思考一个问题,假设现在有两种情况:
A:小O拿1200元一次性买入A产品,1年赚了120元,最后到手1320,收益率显然是10%
B:小O每月拿100元去定投B产品,定投1年后赚了120元,总投入1200,最后到手1320,收益率也是10%
10%≠10%?怎么可能!
宝宝数学不好,小O你别欺负我读书少!

一次性投资收益率10%≠定投收益率10%
▼
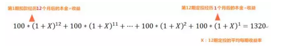
在A情况中,小O拿1200元耗时12个月挣到了120元;
但在B情况中,第一期定投的100元耗时12个月+第二期定投的100元耗时11个月+……+第12期定投的100元耗时1个月,最后,一共赚了120元。
敲黑板划重点:虽然每笔投入的100元最后都赚了10%,但是投入的时间长度是不同的:“100元历时12个月涨10%”和 “100元历时1个月涨10%”显然是不一样的嘛!
定投的真实收益率究竟怎么算?!
在这个方程中,X为12期定投扣款每一期的收益率,通过每期收益率可以推算出整个定投计划的收益率。这里引出一个概念,这个X被成为IRR。

IRR,内部收益率(Internal Rate of Return),就是资金流入现值总额与资金流出现值总额相等、净现值等于零时的折现率。
比较难理解?咱们还是回到具体的例子上,依旧是刚才的那笔定投,我们在EXCEL中算一下那笔定投的IRR和真实收益率:

算出每期利率(IRR)=1%,可求得B情况中“小O每月拿100元去定投B产品,定投1年后赚了120元,总投入1200,最后到手1320”,这笔定投计划的真实收益率不是10%,应该是18.96%!
也就是说原来的传统计算方法,低估了定投的真实收益率!
大多数定投收益率的计算也是拿期末的本金和盈利计算得出的,和一次性投资收益率的算法一致,但这其实并不合理,因为两者的资金使用时间相差很大!
那你也许会说,在市场先涨后跌的情况下,选择一次性投资明显更好啊!BUT,咱得想想以下3点:
(1)在期初就有那么大额的资金吗?——你是土豪,我便追随!
(2)每次投资能踩在市场低点吗?——臣妾没有预知未来的能力啊!
(3)即使定投迎来委屈曲线,及时止盈同样能获得不错的收益——止盈时机的选择比开始定投的时点重要18000多倍!
上这节数学课的意义是啥?
▼
1、 不要简单地拿定投收益率和一次性投资的收益率进行比较,定投相比一次性投资还省下了很多时间成本、机会成本。
2、 定投不一定会比一次性投资好,但是也别低估了定投的收益率。
找一只牛基,开启你的定投之旅吧!
中欧价值发现,定投费率0.5折!
↓↓↓
-
注:以上测算仅作示例。不作为收益保证或者投资建议。所选用指数在持定期间的收益率不代表我司旗下相关基金收益率表现。定投收益率计算公式为:
定投收益率=[(sum(每期定投金额/每期净值)*期末净值)/(sum(每期定投金额*投资期数))]-1
以上材料不作为任何法律文件。基金管理人不保证基金一定盈利,也不保证最低收益。投资人应认真阅读相关的基金合同和招募说明书等法律文件。过往业绩并不预示其未来表现。
投资者应充分了解基金定期定额投资和零存整取等储蓄方式的区别。定期定额投资是引导投资者进行长期投资、平均投资成本的一种简单易行的投资方式。但是定期定额投资并不能规避基金投资所固有的风险,不能保证投资者获取收益,也不是替代储蓄的等效理财方式。
